next up previous
Next: Results and discussions Up: Mathematical formulations Previous: Surface Elevations and Moments

Wave Height Distributions

We employ first three terms of the joint probability density function of $\eta$ and $\zeta$. As a result, Eq.(13) can be simplified by using Eq.(7) and (21),
    $\displaystyle p(\eta,\zeta) =
\frac{1}{2\pi}\exp\left[-\frac{1}{2}(\eta^{2}+\zeta^{2})\right]$  
    $\displaystyle \hspace{0.5cm}
\times
\biggl[
1 + \frac{\kappa_{30}}{6}H_3(\eta)
+ \frac{\kappa_{40}}{24}H_4(\eta)
+ \frac{\kappa_{30}^2}{24}H_6(\eta)
\biggr]$  
    $\displaystyle \hspace{0.5cm}
\times
\biggl[
1 + \frac{\kappa_{03}}{6}H_3(\zeta)
+ \frac{\kappa_{04}}{24}H_4(\zeta)
+ \frac{\kappa_{03}^2}{24}H_6(\zeta)
\biggr]$ (22)

The primes for $\eta$ and $\zeta$ are dropped for simplicity notation in the following contents.

Let $R$ = $A/A_{rms}$ and transform of variables from $(\eta, \zeta)$ to $(\xi, \phi)$ express the joint probability density of the envelope $\xi$ and $\phi$ in the form.

\begin{displaymath}
p(R,\phi) = \biggm\vert
\frac{\partial(\eta, \zeta)}{\partial(R, \phi)}
\biggm\vert
p(\eta,\zeta)
\end{displaymath} (23)

Transformation of Eq.(22) by Eq.(23) and its integration with regard to $\phi$ over [$0,\pi$] yield the local wave amplitude distribution.

    $\displaystyle p(R) dR=\frac{R}{8}
\exp\left(-\frac{R^2}{2}\right)$  
    $\displaystyle \hspace{0.5cm}
\times
\left[ 1+\sum_{i=1}^{2}\alpha_{4,i}A_{4,i}(R)
+\sum_{i=1}^{3}\alpha_{6,i}A_{6,i}(R)
\right]
dR,$ (24)

where
\begin{displaymath}
\left.
\begin{array}{l@{  =  }l}
\alpha_{4,1} & \disp...
...mes 3^{4}} \mu_3^4 \ \avspace
\end{array}
\right\},
\end{displaymath} (25)

and $A_{ij}$ is polynomial for $R$(see Appendix).

Eq.(24) is the distribution with the parameters of $\mu_3$ and $\mu_4$ and agrees to the Rayleigh distribution. This states that Eq.(24) could be treated as an extended distribution of the Rayleigh distribution. Therefore, we should call Eq.(24) as the Edgeworth-Rayleigh distribution(or ER distribution).

Assuming a weakly nonlinearity and narrow banded spectrum enables us to treat wave height $H$ as two times of wave amplitude $A$, that is, $H$ = 2$A$. Then the wave height distribution is calculated by Eq.(24).

\begin{displaymath}
p(H') dH' = \frac{H'}{4}
\exp\left(-\frac{H'^2}{8}\righ...
...eft[ 1 + \sum_{i,j}\beta_{i,j}B_{i,j}(H')
\right] dH',
\end{displaymath} (26)

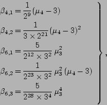
where $H'$ is the wave height normalized by $\eta_{rms}$ but its prime ' is dropped for simplicity hereafer. $\beta_{i,j}$ are coefficients containing skewness and kurtosis of the water surface elevations,
\begin{displaymath}
\left.
\begin{array}{l@{  =  }l}
\beta_{4,1} & \displ...
...s 3^{4}} \mu_3^4
\ \avspace
\end{array}
\right\},
\end{displaymath} (27)

and $B_{ij}$ are polynomials for $H$(see Appendix).

The exceedance probability of wave heights is given by integrating Eq.(26) over the range of $[H,\infty)$:

\begin{displaymath}
P(H)=\exp\left(-\frac{H^2}{8}\right)
\!\left[ 1 + \sum_{i,j}\beta_{i,j}E_{i,j}(H)\right]\!,
\end{displaymath} (28)

where $E_{i,j}(H)$ are polynomials for $H$(see Appendix). An important point to be noted is that the first order correction to the wave amplitudes or wave heights is kurtosis(are related with $\alpha_{4,j}$ and $\beta_{4,j}$).

2 shows the exceedance probability of the wave heights for the case of \ensuremath {\mu _4}=2.75 and 3.25 with \ensuremath {\mu _3}=0. The occurrence probability of the larger wave heights exceeds that of the Rayleigh distribution is increased when the value of \ensuremath {\mu _4} is larger than 3. The value of kurtosis is dominated parameter for the PDF of wave heights.

Figure 1: The exceedance probability of wave heights for \ensuremath {\mu _4}=2.75 and 3.25 with \ensuremath {\mu _3}=0.
\begin{figure}
\EPSFILE{figures/Figure1}{1.2}
\end{figure}

next up previous
Next: Results and discussions Up: Mathematical formulations Previous: Surface Elevations and Moments

2005-11-21